狄拉克半金属在动量空间的三个方向都具有线性的能带色散关系、以及受拓扑保护的费米弧状表面态,呈现出许多新奇的物理性质,在未来电子学器件中具有潜在的应用前景。然而,由于狄拉克半金属的体态电导很高,输运上很难探测到表面态的性质。
人工微结构和介观物理国家重点实验室俞大鹏院士领导的“纳米结构与低维物理”团队在该领域取得系列重要进展。该团队的廖志敏研究员等在高晶体质量的狄拉克半金属Cd3As2纳米线中观测到手征反常导致的负磁电阻效应(Nat. Commun. 6, 10137 (2015));并借助于纳米线比表面积大的优势,测量到起源于拓扑表面态输运的π A-B效应(Nat. Commun. 7, 10769 (2016); Phys. Rev. B 95, 235436(2017))。
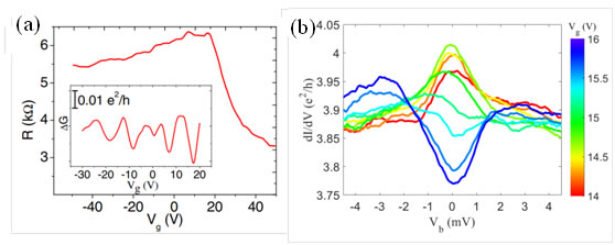
最近,他们通过输运测量首次在狄拉克半金属Cd3As2纳米线中观测到连续体态和离散表面态耦合产生的Fano共振现象。研究表明直径约为60 nm的Cd3As2纳米线的表面态能带会发生劈裂,通过栅压调制费米能级到一个表面态子能带的带底时,会呈现出零偏压微分电导峰;在磁场作用下,由于塞曼效应,零偏压电导峰会发生劈裂,测量得到表面态的朗德因子为32;Fano共振进一步导致零偏压微分电导峰随偏置电压具有非对称的线形,并可能对材料中起源于“外尔轨道”的量子振荡频率产生修正。这项工作对于深入研究拓扑半金属的输运性质,以及设计实现可电学调控的Fano体系有着重要意义。
该研究工作发表在《物理评论快报》上(Fano Interference between Bulk and Surface States of a Dirac Semimetal Cd3As2 Nanowire,Physical Review Letters, 120, 257701 (2018))。 https://journals.aps.org/prl/abstract/10.1103/PhysRevLett.120.257701
博士生王硕、林本川是该论文的共同第一作者。该工作得到科技部重点专项、国家自然科学基金委、北京大学人工微结构和介观物理国家重点实验室、“2011计划”量子物质科学协同创新中心等支持。

图.(a)Cd3As2纳米线中量子限制效应引起的电导振荡;(b)栅压调制的微分电导谱。